Webové stránky ŽMP
CZ
EN
Přihlásit
Katalog sbírek
On-line výstavy
O sbírkách
Prohlížet sbírky
Dokument/ŽMP
Identifikátor
DOCUMENT.JMP.SHOAH/PERS/OP/098/072
Archivní identifikátory
inventární číslo: SHOAH/PERS/OP/098/072
Datace vzniku
2025
Jazyk
česky
Rozsah
201 strany
Související sbírky
Mühlstein, Jan
(je součástí)
inventární číslo: SHOAH/PERS/OP/098
Sbírky k dějinám šoa
>
Osobní a rodinné materiály a pozůstalosti
>
Mühlstein, Jan
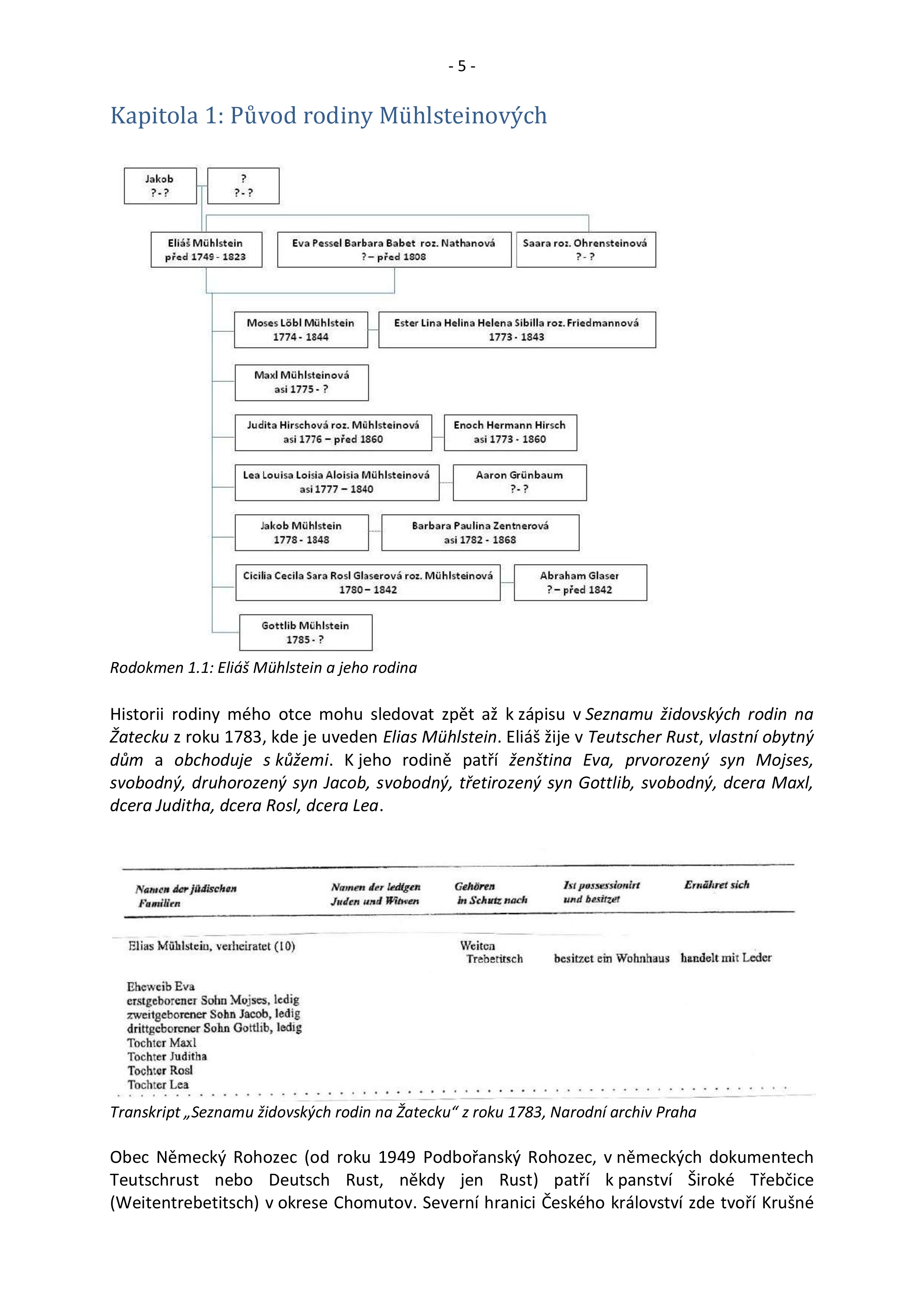
Mühlstein, Jan: Mühlsteinovi. Kronika německých Židů z Čech
Katalog sbírek
2025
Obrázky
Komentáře
Fullscreen
Pro vložení komentáře se přihlaste!